The Blue Hen State has been a first-mover on virtually every online gambling front.
The US Court of Appeals for the Third Circuit ruled against Delaware, finding that any expansion of sports betting in Delaware beyond the parlay-style wagers offered under Scoreboard would violate PASPA.
It was roughly two-and-a-half months ago that the Texas House voted to advance a bill that would legalize Texas sports betting.
Double result: This allows you to bet on who will be leading at halftime and who will be leading at the end of the game within a single wager.
online horse racing bettingThere are many elements of the gameplay in RDR2 that make the game exciting.
These are the Rhodes Saloon, Blackwater Saloon, Van Horn Trading Post, and in your own camp.
耦合双摆的 Lagrangian
考虑如图所示的耦合双摆,一个质量为 m1 的质点被悬挂在一个长度为 l1 的轻绳上,使得其距离固定点距离为 l1 。同时在其下距离为 l2 处进一步悬挂了一个质量为 m2 的质点。在研究这个力学系统的平面运动时,其构型的完整描述由图中所示的两个角度 θ1 和 θ2 实现,这正是系统的一组广义坐标。

基于上一期中的分析,用这两个角度来表达出的两个质点的总动能应当具有形式
![]()
另一方面,这个体系的势能,如果选择 悬挂点为势能零点,则应当表达为
![]()
从而不难得到体系的 Lagrangian 应当具有形式
![]()
耦合双摆的运动方程
从 Lagrangian 出发,体系的运动方程自然可以通过 Euler-Lagrange 方程的形式得到确定,正是
![]()
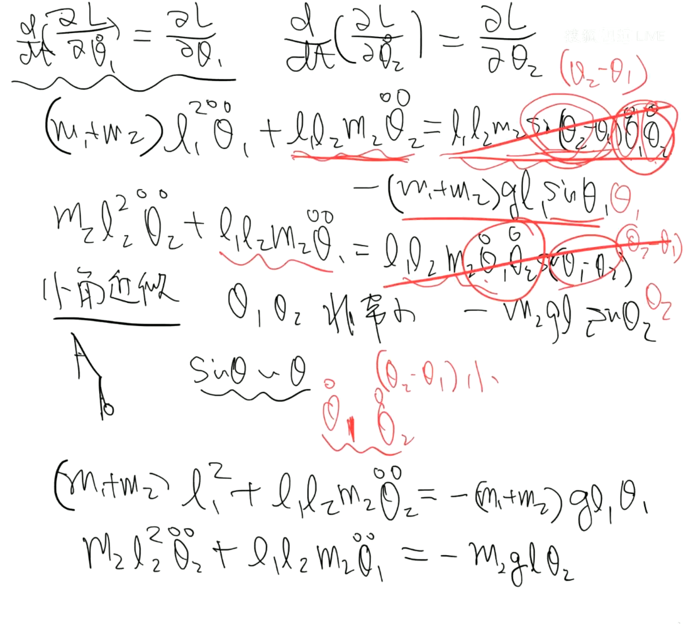
通过一些代数处理,可以写出只包含体系广义坐标的二级导数的运动方程,具有如下形式
![]()
将这些偏微分结果进行组合就可以得到耦合双摆普遍运动的动力学方程。这个方程将会变得极其繁琐,只能通过计算机进行数值求解。为了得到物理上的一些理解,可以考虑耦合双摆在小角度范围内的运动,这意味着需要进行如下的近似处理:
![]()
带入上面的方程中,并且略去所有的二阶及以上的小量,这使得运动方程成为简单的形式:
![]()
![]()
或者通过引入矩阵
![]()
这样可以使得方程拥有矩阵乘法的形式:
![]()
如果两边同乘矩阵 K 的逆,则方程的形式会进一步化为
![]()
这正是一个耦合简谐谐振子的运动方程。关于矩阵 K 的可逆性则可以从矩阵 K 的行列式中看到,由于
![]()
因此在研究范围内矩阵 K 总是可逆的,上面的操作将不引起问题。
小角度耦合双摆的简正模
耦合谐振子总是拥有一些特征的振动模式,这些简正模将完全由矩阵 H 决定。通过矩阵代数运算,可以写出矩阵 H 为
![]()
为了得到系统的简正模的信息,可以将特殊情形的振动行为带入到方程中,通过待定系数法来得到确定。为此,将特殊解
![]()
带入,方程将会被简化为
![]()
从而特殊解的圆频率应当有久期方程
![]()
得到确定。其中 λ 是圆频率 ω 的平方。由于 H 是一个 2x2 的矩阵,这个方程将会被化为关于 λ 的一元二次方程,整理得到
![]()
将方程稍作整理可以得到
![]()
通过求根公式,不难得到
![]()
可以检查根号内的表达式一定是非负的,因此将不会出现奇异的解。进一步地,可以写出简正模式的圆频率
![]()
或者根据周期和频率的关系给出周期的取值
![]()
一般的小角度耦合摆的运动总是这样两个简正模式对应简谐振动的线性组合。
小角度近似的合法性
现在可以转过头来考察小角度近似:
![]()
即是否小振幅就足够说明广义速度不会带来过大的影响。为此不妨将 L 对 θ2 的偏导数作为例子,上面已经给出严格的表达式为
![]()
取小角度近似,但这次将第一项保留到最低阶不为零的项,有
![]()
第一项比起第二项可忽略将要求存在
![]()
成立,这似乎意味着广义速度的值不应当过大。但事实上,如果将特殊解形式
![]()
带入,我们会看到小角度近似的合法性要求成为了
![]()
由于简正模的频率正比于 g 的平方根,因此这个要求中将不会出现 g. 而只需要振幅远远小于由质量 m1, m2 和长度 l1, l2 组合出的无量纲数即可。换言之,只要求运动幅度足够小的小角度近似总是合法的,不需要过多讨论广义速度的大小。当然这个结论只对简谐振动能够很好地描述系统运动——即振幅已经足够小——的情况成立,更一般的情况如实际工程应用中仍然需要根据广义速度的大小来确定系统偏离小角度近似的程度。
据了解,《张朝阳的物理课》于每周五,周日中午12时在搜狐视频直播,网友可以在搜狐视频APP“关注流”中搜索“张朝阳”,观看直播及往期完整视频回放;关注“张朝阳的物理课”账号,查看课程中的“知识点”短视频;此外,还可以在搜狐新闻APP的“搜狐科技”账号上,阅览每期物理课程的详细文章。
is sports betting legal in dcufc betting onlineonline baccarat real money
声明:该文观点仅代表作者本人,搜狐号系信息发布平台,搜狐仅提供信息存储空间服务。